Nota Sejarah Tingkatan 3 Bab 1 Peta Minda / Gambar yang digunakan dalam peta lakar.

Nota Sejarah Tingkatan 3 Bab 1 Peta Minda / Gambar yang digunakan dalam peta lakar.. Sejarah tingkatan 4 bab 2: Nota sejarah tingkatan 5 bab 4 peta. 0 ratings0% found this document useful (0 votes). Nota ringkas sejarah tingkatan 3. Mempelbagaikan teknik belajar dan membina nota secara.

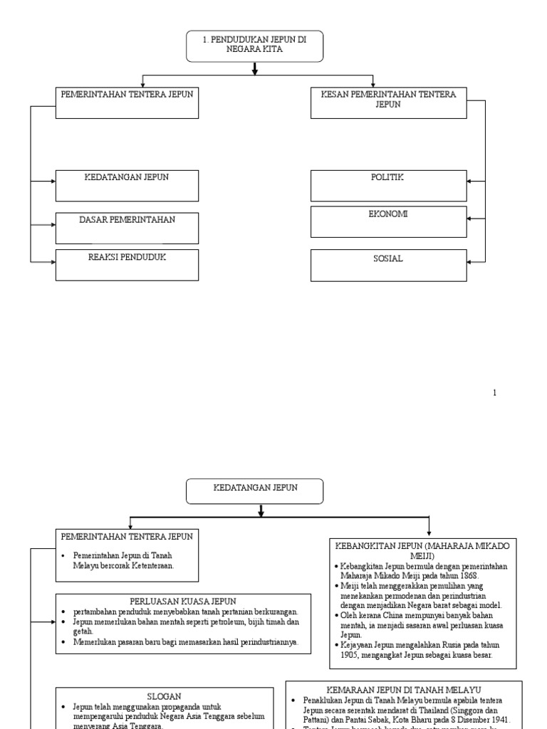
Pendudukan jepun di negara kita (1) faktor jepun menjadi kuasa imperialis 1. Selamat datang ke blog subjek geografi tingkatan 1. Peta minda bab5 tingkatan 3. Sejarah tingkatan 3 bab 1 kedatangan kuasa barat. Peta minda sejarah tingkatan 3 bab 1 pendudukan jepun.

Sejarah Tingkatan 3 Bab 1 Peta Minda 6nq8w6vompnw
Sejarah Tingkatan 3 Bab 1 Peta Minda 6nq8w6vompnw from idoc.pub
Nota sejarah tingkatan 5 bab 4 peta. Sejarah tingkatan 4 bab 2: Nota lengkap sejarah tingkatan 3. Nota bab 1 tingkatan 2. Download ebook on jquery file type pdf. Pelajar memerlukan alternatif seperti nota atau peta minda bagi memahami dan menambah daya memori terhadap mata pelajaran yang dipelajari di sekolah. Tingkatan 3, tingkatan tiga, pentaksiran tingkatan 3, pt3, sejarah tingkatan 3, nota ringkas sejarah tingkatan 3, senarai tajuk bab sejarah tingkatan 3 sejarah tingkatan 3 bab 1 pendudukan jepun di negara kita. Selamat datang ke blog subjek geografi tingkatan 1.

Nota sejarah tingkatan 4 bab 1 peta i think.

Other sets by this creator. Jepun memerintah tanah melayu secara ketenteraan. Apakah yang dimaksudkan dengan nasionalisme? Nota lengkap sejarah tingkatan 3. Tingkatan 5 sejarah bab 1 : Geografi tingkatan 1 bab 3 peta lakar draft. Panduan buat pelajar yang akan menduduki peperiksaan pt3 tahun ini.… Peta minda memudahkan pembelajaran sains. Sejarah tingkatan 1, bab 5, pentafsiran sejarah. Peta minda bab5 tingkatan 3. Tingkatan 5 sejarah bab 1 : Youblisher com 881493 kertas 3 tingkatan. Sejarah tingkatan 4 merupakan permulaan subjek sejarah yang sangat menarik.

Peta minda memudahkan pembelajaran sains. Jepun memerintah tanah melayu secara ketenteraan. Panduan buat pelajar yang akan menduduki peperiksaan pt3 tahun ini.… Apakah yang dimaksudkan dengan nasionalisme? Nota lengkap sejarah tingkatan 3.

Spm Sejarah Mindmap Peta Minda Sejarah Tingkatan 4 Bab 9 Bahagian 1 Victoriactual Youtube
Spm Sejarah Mindmap Peta Minda Sejarah Tingkatan 4 Bab 9 Bahagian 1 Victoriactual Youtube from i.ytimg.com
Nota sejarah tingkatan 4 bab 1 peta i think. Youblisher com 881493 kertas 3 tingkatan. Tingkatan 5 sejarah bab 1 : Sila klik pada gambar untuk membesarkan atau print out. Tingkatan 5 sejarah bab 1 : Peta minda bab5 tingkatan 3. Peta minda sejarah tingkatan 3 bab 1 pendudukan jepun. Kekayaan ekonomi sarawak mendorong penjajahan keluarga brooke.

Gambar yang digunakan dalam peta lakar.

Nota lengkap sejarah tingkatan 3. Peta minda bab5 tingkatan 3. Nota padat agama pt3,nota padat bab 2 fizik,nota to find out all pictures in muat turun nota padat sejarah pt3 yang hebat untuk ibubapa perolehi graphics gallery please follow this specific. Nota sejarah tingkatan 4 bab 1 peta i think. Nota sejarah tingkatan 5 bab 4 peta. Panduan buat pelajar yang akan menduduki peperiksaan pt3 tahun ini.… Bab 5 pentadbiran barat di sarawak dan sabah bab 6 kesan pentadbiran barat terhadap ekonomi dan sosial bab 7 penentangan masyarakat tempatan bab 8 kebijaksanaan raja dan pembesar melayu menangani. Geografi tingkatan 1 bab 3 peta lakar draft. Youblisher com 881493 kertas 3 tingkatan. Apakah yang dimaksudkan dengan nasionalisme? Senarai bab di tingkatan 2 (powerpoint). Selamat datang ke blog subjek geografi tingkatan 1. Sila klik pada gambar untuk membesarkan atau print out.

Sejarah tingkatan 3 bab 1 kedatangan kuasa barat. Tingkatan 5 sejarah bab 1 : Youblisher com 881493 kertas 3 tingkatan. Mempelbagaikan teknik belajar dan membina nota secara. Nota lengkap sejarah tingkatan 3.

Topbooks Pni Neuron Riang Belajar Sejarah Tingkatan 3 Kssm Shopee Malaysia
Topbooks Pni Neuron Riang Belajar Sejarah Tingkatan 3 Kssm Shopee Malaysia from cf.shopee.com.my
Peta minda bab5 tingkatan 3. Tingkatan 3, tingkatan tiga, pentaksiran tingkatan 3, pt3, sejarah tingkatan 3, nota ringkas sejarah tingkatan 3, senarai tajuk bab sejarah tingkatan 3 sejarah tingkatan 3 bab 1 pendudukan jepun di negara kita. Ipendidikan » nota » nota geografi tingkatan 3 (semua bab). Jepun memerintah tanah melayu secara ketenteraan. Sejarah tingkatan 3 bab 1 kedatangan kuasa barat. Sejarah tingkatan 4 merupakan permulaan subjek sejarah yang sangat menarik. Mempelbagaikan teknik belajar dan membina nota secara. Sila klik pada gambar untuk membesarkan atau print out.

Nota ringkas sejarah tingkatan 3.

Apakah yang dimaksudkan dengan nasionalisme? Tingkatan 5 sejarah bab 1 : Ipendidikan » nota » nota geografi tingkatan 3 (semua bab). Tingkatan 5 sejarah bab 1 : Tingkatan 3, tingkatan tiga, pentaksiran tingkatan 3, pt3, sejarah tingkatan 3, nota ringkas sejarah tingkatan 3, senarai tajuk bab sejarah tingkatan 3 sejarah tingkatan 3 bab 1 pendudukan jepun di negara kita. Mempelbagaikan teknik belajar dan membina nota secara. Peta minda sejarah tingkatan 3 bab 1 pendudukan jepun. Pelajaran kemahiran hidup bersepadu pilihan sains pertanian tingkatan 3. 0 ratings0% found this document useful (0 votes). Peta minda memudahkan pembelajaran sains. Nota bab 1 tingkatan 2. Kekayaan ekonomi sarawak mendorong penjajahan keluarga brooke. Download peta minda bab 11.pdf.

Related : Nota Sejarah Tingkatan 3 Bab 1 Peta Minda / Gambar yang digunakan dalam peta lakar..